找答案
考试指南
试卷
请在
下方输入
要搜索的题目:
搜 索
270.己知f(k)=(k) 8(k),y(k)=2J6(k).求h(k)
270.己知f(k)=(k) 8(k),y(k)=2J6(k).求h(k)
发布时间:
2025-10-11 09:29:39
首页
全科主治
推荐参考答案
(
由 快搜搜题库 官方老师解答 )
联系客服
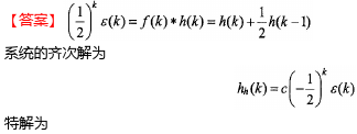
答案:
相关试题
1.
270.己知f(k)=(k) 8(k),y(k)=2J6(k).求h(k)
2.
20.己知f(k)=0(k) 0(k),y(k)2J(k),求h(k)
3.
若方程为: y(k) – y(k –1) – 2y(k –2)=f(k) – f(k – 2) 求单位序列响应h(k),单位阶跃响应 g(k)
4.
若y(k)=f(k)*h(k),则y(k-1)=f(k-1)*h(k-1)
5.
离散信号x[k]={1,1,1;k=0,1,2}和h[k]={2,3,2; k=-1,0,1}进行卷积运算得到y[k]=x[k]*h[k],其中y[k]的k的取值为( )。
6.
函数f(x)=A、[kπ ,π ],k∈ZB、[kπ﹣ ,π﹣ ],k∈ZC、[2kπ﹣ ,2kπ﹣ ],k∈ZD、[kπ﹣ ,kπ ],k∈Z
7.
函数f(x)=A、[kπ ,π ],k∈ZB、[kπ- ,π- ],k∈ZC、[2kπ- ,2kπ- ],k∈ZD、[kπ- ,kπ ],k∈Z
8.
y(k)+y(k-1)y(k-2)=f(k)
9.
B.y(k) y(k-1)y(k-2)-2f(k)C.y(k) ky(k-2)=f(1-k) 2f(k-1D.y(k) 2y(k-1)=2|f(k
10.
B.y(k) y(k-1)y(k-2)-2f(k)C.y(k) ky(k-2)=f(1-k) 2f(k-1D.y(k) 2y(k-1)=2|f(k
热门标签
消防题库及答案
公务员考试常识题库
常识题库及答案
行政执法考试题库
行测题库及答案
公务员行政能力测试题库
国家试题库
国企笔试题库
军队文职考试题库
教育学题库及答案
银从题库
证券市场基本法律法规题库
招聘题库
助产士考试题库
怎么把题目做成题库
结构化面试题库
事业编制考试题库
卫生职称考试题库
综合基础知识题库
教师资格面试题库