请在 下方输入 要搜索的题目:

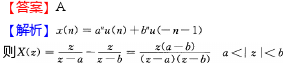
a,n≥044.已知一双边序列x(n)=(a<b),其2变换为,n<0a<z<bD-a)z b)"" lz/6A、(z-a)(z-b)|z|≤a,B、<z <b

a,n≥044.已知一双边序列x(n)=(aA、(z-a)(z-b)|z|≤a,
B、

发布时间:2026-02-11 07:00:15
推荐参考答案 ( 由 快搜搜题库 官方老师解答 )
联系客服
答案:
专业技术学习
专业技术学习
搜搜题库系统