找答案
考试指南
试卷
请在
下方输入
要搜索的题目:
搜 索
若已知x(n)=u(n),求系统的零状态响应yzs(n);
若已知x(n)=u(n),求系统的零状态响应yzs(n);
发布时间:
2026-02-06 13:41:14
首页
食品安全员
推荐参考答案
(
由 快搜搜题库 官方老师解答 )
联系客服
答案:
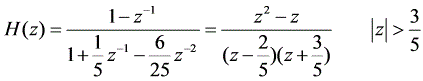
1.
由于两极点
和
均在单位圆内,系统又为因果系统,所以该系统是稳定的。
相关试题
1.
若已知x(n)=u(n),求系统的零状态响应yzs(n);
2.
已知离散系统的差分方程为y(n 2)-3y(n 1) 2y(n)=x(n 1)-2x(n)(n)=2(u),y(0)-0,y(1)=1,求系统的零输入响应、零状态响应及完全响应
3.
已知x(n)=u(n+3),h(n)=u(n-3)。求x(n)*h(n)得结果为( )
4.
已知某离散系统差分方程为y(n)+5y(n-1)+6y(n-2)= x(n-1)+2x(n-2),并且y(0)=1,y(1)=0,激励x(n) = u(n),求n≥0以后系统的零输入响应yzi(n)为(
5.
下列哪一个单位抽样响应所表示的系统不是因果系统 ?( )A、h(n)= δ (n)B、h(n)=u(n)C、h(n)=u(n)-u(n-1)D、h(n)=u(n)-u(n 1)
6.
若x m 2n =,x n =2,求x m n 的值.
7.
下列序列中属周期序列的为( )。A. x(n) = δ(n) B. x(n) = u(n)C. x(n) = R4((n))N D. x(n) = n
8.
85.f(n)=u(n),求Z变换
9.
1.f(n)=u(n),求Z变换
10.
0.f(n)=u(n),求Z变换
热门标签
计算机专业知识题库
社区专职工作者考试题库
人文常识题库及答案
经济学题库
专升本考试题库
医学知识题库
商业银行考试题库
综合考试题库
联通笔试题库
考试题库网
结构化面试题库及答案
公务员真题题库
信息技术考试题库
公务员题库
事业单位面试题库
公务员万题库
综合能力测试题库
试题库在线
教师的题库
普通话题库