找答案
考试指南
试卷
请在
下方输入
要搜索的题目:
搜 索
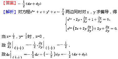
8.设z=z(x,y)是由方程e x y z-确定的函数则dz
8.设z=z(x,y)是由方程e x y z-确定的函数则dz
发布时间:
2025-12-11 08:56:37
首页
注册建筑师
推荐参考答案
(
由 快搜搜题库 官方老师解答 )
联系客服
答案:
相关试题
1.
8.设z=z(x,y)是由方程e x y z-确定的函数则dz
2.
设 z=z(x,y)z=z(x,y) 是由方程 ez−xyz=0ez−xyz=0 确定的函数, 则 ∂z∂x=
3.
设z = z (x, y) 由方程 f (yz, x+z)=0 所确定的隐函数,则 dz=
4.
(8-5-7)若 ) , ( z y x x = , ) , ( z
5.
(本题满分7分)设函数z=z(x,y)由方程x2+y2+z2=xyz确定,求δz/δy。
6.
设z=z(x,y)是由方程e^z -v1=0确定的函数,则ez/ex=() A.z/1 z B.y/x(1 z) C.z/x(z-1) D.y/x(1-z)
7.
设函数z=z(x,y)由方程xy yz zx=1确定,求
8.
已知函数z=z(x,y)由方程(x2 y2)z lnz 2(x y 1)=0确定,求z=z(x, y)的极值.
9.
设z=z(x,y)是由方程e^z -v1=0确定的函数,则ez/ex=()A.z/1 zB.y/x(1 z)C.z/x(z-1)D.y/x(1-z)
10.
设 |x z|<|y|(x,y,z∈R),则A、|x|>|z|-|y|B、|x|>|y|-|z|C、|x|<|z|-|y|D、|x|<|y|-|z|
热门标签
征信题库
建行笔试题库
药学专业知识题库
财务会计考试题库
教师资格证试题库
国家公务员常识题库
人文常识题库及答案
农行笔试题库
题库网站
题库练习
社会工作者考试题库
职业教育题库
警察考试题库
面试的题库
国考行测题库
无领导小组题库及答案
综合能力测试题库
公共基础知识考试题库
银行笔试题库
教师资格面试题库