请在 下方输入 要搜索的题目:

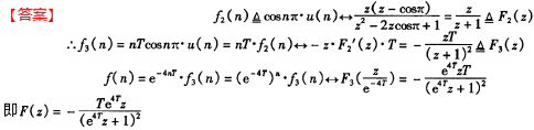
20.若函数f(n)=hT(n)的Z变换为()=of(n)=e-r- ntcosnz*u(n)的Z变换F(z)

20.若函数f(n)=hT(n)的Z变换为()=of(n)=e-r- ntcosnz*u(n)的Z变换F(z)

发布时间:2025-10-23 20:32:50
推荐参考答案 ( 由 快搜搜题库 官方老师解答 )
联系客服
答案:
专业技术学习
专业技术学习
搜搜题库系统