请在 下方输入 要搜索的题目:

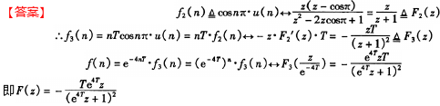
20.若函数f(n)=s(n)的乙变换为(z)20nt'cosnzt“u(n)的Z变换F(z)

20.若函数f(n)=s(n)的乙变换为(z)20nt'cosnzt“u(n)的Z变换F(z)

发布时间:2025-12-11 20:44:00
推荐参考答案 ( 由 快搜搜题库 官方老师解答 )
联系客服
答案:
专业技术学习
专业技术学习
搜搜题库系统